In the previous two posts, I covered two ways of looking at programs in my little toy language:

Our analyses operate on CFGs, but it is our semantics that actually determine how a program behaves. In order for our analyses to be able to produce correct results, we need to make sure that there isn’t a disconnect between the approximation and the truth. In the previous post, I stated the property I will use to establish the connection between the two perspectives:

For each possible execution of a program according to its semantics, there exists a corresponding path through the graph.

By ensuring this property, we will guarantee that our Control Flow Graphs account for anything that might happen. Thus, a correct analysis built on top of the graphs will produce results that match reality.

Traces: Paths Through a Graph

A CFG contains each “basic” statement in our program, by definition; when we’re executing the program, we are therefore running code in one of the CFG’s nodes. When we switch from one node to another, there ought to be an edge between the two, since edges in the CFG encode possible control flow. We keep doing this until the program terminates (if ever).

Now, I said that there “ought to be edges” in the graph that correspond to our program’s execution. Moreover, the endpoints of these edges have to line up, since we can only switch which basic block / node we’re executing by following an edge. As a result, if our CFG is correct, then for every program execution, there is a path between the CFG’s nodes that matches the statements that we were executing.

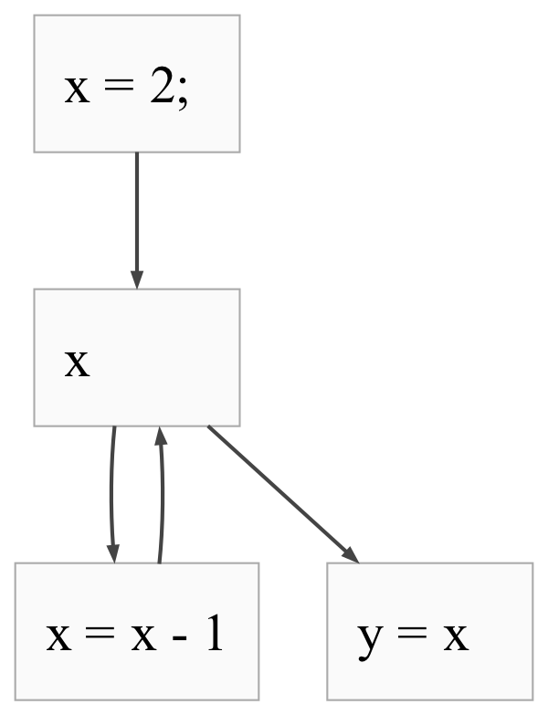
Take the following program and CFG from the previous post as an example.

x = 2;
while x {
  x = x - 1;
}
y = x;

We start by executing x = 2, which is the top node in the CFG. Then, we execute the condition of the loop, x. This condition is in the second node from the top; fortunately, there exists an edge between x = 2 and x that allows for this possibility. Once we computed x, we know that it’s nonzero, and therefore we proceed to the loop body. This is the statement x = x - 1, contained in the bottom left node in the CFG. There is once again an edge between x and that node; so far, so good. Once we’re done executing the statement, we go back to the top of the loop again, following the edge back to the middle node. We then execute the condition, loop body, and condition again. At that point we have reduced x to zero, so the condition produces a falsey value. We exit the loop and execute y = x, which is allowed by the edge from the middle node to the bottom right node.

We will want to show that every possible execution of the program (e.g., with different variable assignments) corresponds to a path in the CFG. If one doesn’t, then our program can do something that our CFG doesn’t account for, which means that our analyses will not be correct.

I will define a Trace datatype, which will be an embellished path through the graph. At its core, a path is simply a list of indices together with edges that connect them. Viewed another way, it’s a list of edges, where each edge’s endpoint is the next edge’s starting point. We want to make illegal states unrepresentable, and therefore use the type system to assert that the edges are compatible. The easiest way to do this is by making our Trace indexed by its start and end points. An empty trace, containing no edges, will start and end in the same node; the :: equivalent for the trace will allow prepending one edge, starting at node i1 and ending in i2, to another trace which starts in i2 and ends in some arbitrary i3. Here’s an initial stab at that:

module _ {g : Graph} where
    open Graph g using (Index; edges; inputs; outputs)

    data Trace : Index  Index  Set where
        Trace-single :  {idx : Index}  Trace idx idx
        Trace-edge :  {idx₁ idx₂ idx₃ : Index} 
                     (idx₁ , idx₂)  edges 
                     Trace idx₂ idx₃  Trace idx₁ idx₃

This isn’t enough, though. Suppose you had a function that takes an evaluation judgement and produces a trace, resulting in a signature like this:

buildCfg-sufficient :  {s : Stmt} {ρ₁ ρ₂ : Env}  ρ₁ , s ⇒ˢ ρ₂ 
                      let g = buildCfg s
                      in Σ (Index g × Index g) (λ (idx₁ , idx₂)  Trace {g} idx₁ idx₂)

What’s stopping this function from returning any trace through the graph, including one that doesn’t even include the statements in our program s? We need to narrow the type somewhat to require that the nodes it visits have some relation to the program execution in question.

We could do this by indexing the Trace data type by a list of statements that we expect it to match, and requiring that for each constructor, the statements of the starting node be at the front of that list. We could compute the list of executed statements in order using [note: I mentioned earlier that our encoding of the semantics is actually defining a proof tree, which includes every step of the computation. That's why we can write a function that takes the proof tree and extracts the executed statements. ]

That would work, but it loses a bit of information. The execution judgement contains not only each statement that was evaluated, but also the environments before and after evaluating it. Keeping those around will be useful: eventually, we’d like to state the invariant that at every CFG node, the results of our analysis match the current program environment. Thus, instead of indexing simply by the statements of code, I chose to index my Trace by the starting and ending environment, and to require it to contain evaluation judgements for each node’s code. The judgements include the statements that were evaluated, which we can match against the code in the CFG node. However, they also assert that the environments before and after are connected by that code in the language’s formal semantics. The resulting definition is as follows:

From Traces.agda, lines 10 through 18
10
11
12
13
14
15
16
17
18
module _ {g : Graph} where
    open Graph g using (Index; edges; inputs; outputs)

    data Trace : Index  Index  Env  Env  Set where
        Trace-single :  {ρ₁ ρ₂ : Env} {idx : Index} 
                       ρ₁ , (g [ idx ]) ⇒ᵇˢ ρ₂  Trace idx idx ρ₁ ρ₂
        Trace-edge :  {ρ₁ ρ₂ ρ₃ : Env} {idx₁ idx₂ idx₃ : Index} 
                     ρ₁ , (g [ idx₁ ]) ⇒ᵇˢ ρ₂  (idx₁ , idx₂)  edges 
                     Trace idx₂ idx₃ ρ₂ ρ₃  Trace idx₁ idx₃ ρ₁ ρ₃

The g [ idx ] and g [ idx₁ ] represent accessing the basic block code at indices idx and idx₁ in graph g.

Trace Preservation by Graph Operations

Our proofs of trace existence will have the same “shape” as the functions that build the graph. To prove the trace property, we’ll assume that evaluations of sub-statements correspond to traces in the sub-graphs, and use that to prove that the full statements have corresponding traces in the full graph. We built up graphs by combining sub-graphs for sub-statements, using _∙_ (overlaying two graphs), _↦_ (sequencing two graphs) and loop (creating a zero-or-more loop in the graph). Thus, to make the jump from sub-graphs to full graphs, we’ll need to prove that traces persist through overlaying, sequencing, and looping.

Take _∙_, for instance; we want to show that if a trace exists in the left operand of overlaying, it also exists in the final graph. This leads to the following statement and proof:

From Properties.agda, lines 88 through 97
88
89
90
91
92
93
94
95
96
97
Trace-∙ˡ :  {g₁ g₂ : Graph} {idx₁ idx₂ : Graph.Index g₁} {ρ₁ ρ₂ : Env} 
           Trace {g₁} idx₁ idx₂ ρ₁ ρ₂ 
           Trace {g₁  g₂} (idx₁ Fin.↑ˡ Graph.size g₂) (idx₂ Fin.↑ˡ Graph.size g₂) ρ₁ ρ₂
Trace-∙ˡ {g₁} {g₂} {idx₁} {idx₁} (Trace-single ρ₁⇒ρ₂)
    rewrite sym (lookup-++ˡ (Graph.nodes g₁) (Graph.nodes g₂) idx₁) =
    Trace-single ρ₁⇒ρ₂
Trace-∙ˡ {g₁} {g₂} {idx₁} (Trace-edge ρ₁⇒ρ idx₁→idx tr')
    rewrite sym (lookup-++ˡ (Graph.nodes g₁) (Graph.nodes g₂) idx₁) =
    Trace-edge ρ₁⇒ρ (ListMemProp.∈-++⁺ˡ (x∈xs⇒fx∈fxs (_↑ˡ Graph.size g₂) idx₁→idx))
                    (Trace-∙ˡ tr')

There are some details there to discuss.

The proof of Trace-∙ʳ, the same property but for the right-hand operand g₂, is very similar, as are the proofs for sequencing. I give their statements, but not their proofs, below.

From Properties.agda, lines 99 through 101
From Properties.agda, lines 139 through 141
From Properties.agda, lines 150 through 152
From Properties.agda, lines 175 through 176
175
176
Trace-loop :  {g : Graph} {idx₁ idx₂ : Graph.Index g} {ρ₁ ρ₂ : Env} 
             Trace {g} idx₁ idx₂ ρ₁ ρ₂  Trace {loop g} (2 Fin.↑ʳ idx₁) (2 Fin.↑ʳ idx₂) ρ₁ ρ₂

Preserving traces is unfortunately not quite enough. The thing that we’re missing is looping: the same sub-graph can be re-traversed several times as part of execution, which suggests that we ought to be able to combine multiple traces through a loop graph into one. Using our earlier concrete example, we might have traces for evaluating x then x = x -1 with the variable x being mapped first to 2 and then to 1. These traces occur back-to-back, so we will put them together into a single trace. To prove some properties about this, I’ll define a more precise type of trace.

End-To-End Traces

The key way that traces through a loop graph are combined is through the back-edges. Specifically, our loop graphs have edges from each of the output nodes to each of the input nodes. Thus, if we have two paths, both starting at the beginning of the graph and ending at the end, we know that the first path’s end has an edge to the second path’s beginning. This is enough to combine them.

This logic doesn’t work if one of the paths ends in the middle of the graph, and not on one of the outputs. That’s because there is no guarantee that there is a connecting edge.

To make things easier, I defined a new data type of “end-to-end” traces, whose first nodes are one of the graph’s inputs, and whose last nodes are one of the graph’s outputs.

From Traces.agda, lines 27 through 36
27
28
29
30
31
32
33
34
35
36
    record EndToEndTrace (ρ₁ ρ₂ : Env) : Set where
        constructor MkEndToEndTrace
        field
            idx₁ : Index
            idx₁∈inputs : idx₁  inputs

            idx₂ : Index
            idx₂∈outputs : idx₂  outputs

            trace : Trace idx₁ idx₂ ρ₁ ρ₂

We can trivially lift the proofs from the previous section to end-to-end traces. For example, here’s the lifted version of the first property we proved:

From Properties.agda, lines 110 through 121
110
111
112
113
114
115
116
117
118
119
120
121
EndToEndTrace-∙ˡ :  {g₁ g₂ : Graph} {ρ₁ ρ₂ : Env} 
                   EndToEndTrace {g₁} ρ₁ ρ₂ 
                   EndToEndTrace {g₁  g₂} ρ₁ ρ₂
EndToEndTrace-∙ˡ {g₁} {g₂} etr = record
    { idx₁ = EndToEndTrace.idx₁ etr Fin.↑ˡ Graph.size g₂
    ; idx₁∈inputs = ListMemProp.∈-++⁺ˡ (x∈xs⇒fx∈fxs (Fin._↑ˡ Graph.size g₂)
                                                    (EndToEndTrace.idx₁∈inputs etr))
    ; idx₂ = EndToEndTrace.idx₂ etr Fin.↑ˡ Graph.size g₂
    ; idx₂∈outputs = ListMemProp.∈-++⁺ˡ (x∈xs⇒fx∈fxs (Fin._↑ˡ Graph.size g₂)
                                                    (EndToEndTrace.idx₂∈outputs etr))
    ; trace = Trace-∙ˡ (EndToEndTrace.trace etr)
    }

The other lifted properties are similar.

For looping, the proofs get far more tedious, because of just how many sources of edges there are in the output graph — they span four lines:

From Graphs.agda, lines 84 through 94
84
85
86
87
88
89
90
91
92
93
94
loop : Graph  Graph
loop g = record
    { size = 2 Nat.+ Graph.size g
    ; nodes = []  []  Graph.nodes g
    ; edges = (2 ↑ʳᵉ Graph.edges g) List.++
              List.map (zero ,_) (2 ↑ʳⁱ Graph.inputs g) List.++
              List.map (_, suc zero) (2 ↑ʳⁱ Graph.outputs g) List.++
              ((suc zero , zero)  (zero , suc zero)  [])
    ; inputs = zero  []
    ; outputs = (suc zero)  []
    }

I therefore made use of two helper lemmas. The first is about list membership under concatenation. Simply put, if you concatenate a bunch of lists, and one of them (l) contains some element x, then the concatenation contains x too.

From Utils.agda, lines 82 through 85
82
83
84
85
concat-∈ :  {a} {A : Set a} {x : A} {l : List A} {ls : List (List A)} 
           x  l  l  ls  x  foldr _++_ [] ls
concat-∈ x∈l (here refl) = ListMemProp.∈-++⁺ˡ x∈l
concat-∈ {ls = l'  ls'} x∈l (there l∈ls') = ListMemProp.∈-++⁺ʳ l' (concat-∈ x∈l l∈ls')

I then specialized this lemma for concatenated groups of edges.

From Properties.agda, lines 162 through 172
162
163
164
165
166
167
168
169
170
171
172
loop-edge-groups :  (g : Graph)  List (List (Graph.Edge (loop g)))
loop-edge-groups g =
    (2 ↑ʳᵉ Graph.edges g) 
    (List.map (zero ,_) (2 ↑ʳⁱ Graph.inputs g)) 
    (List.map (_, suc zero) (2 ↑ʳⁱ Graph.outputs g)) 
    ((suc zero , zero)  (zero , suc zero)  []) 
    []

loop-edge-help :  (g : Graph) {l : List (Graph.Edge (loop g))} {e : Graph.Edge (loop g)} 
                 e ListMem.∈ l  l ListMem.∈ loop-edge-groups g 
                 e ListMem.∈ Graph.edges (loop g)

Now we can finally prove end-to-end properties of loop graphs. The simplest one is that they allow the code within them to be entirely bypassed (as when the loop body is evaluated zero times). I called this EndToEndTrace-loop⁰. The “input” node of the loop graph is index zero, while the “output” node of the loop graph is index suc zero. Thus, the key step is to show that an edge between these two indices exists:

From Properties.agda, lines 227 through 240
227
228
229
230
231
232
233
234
235
236
237
238
239
240
EndToEndTrace-loop⁰ :  {g : Graph} {ρ : Env} 
                      EndToEndTrace {loop g} ρ ρ
EndToEndTrace-loop⁰ {g} {ρ} =
    let
        zero→suc = loop-edge-help g (there (here refl))
                                    (there (there (there (here refl))))
    in
        record
            { idx₁ = zero
            ; idx₁∈inputs = here refl
            ; idx₂ = suc zero
            ; idx₂∈outputs = here refl
            ; trace = Trace-single [] ++⟨ zero→suc  Trace-single []
            }

The only remaining novelty is the trace field of the returned EndToEndTrace. It uses the trace concatenation operation ++⟨_⟩. This operator allows concatenating two traces, which start and end at distinct nodes, as long as there’s an edge that connects them:

The expression on line 239 of Properties.agda is simply the single-edge trace constructed from the edge 0 -> 1 that connects the start and end nodes of the loop graph. Both of those nodes is empty, so no code is evaluated in that case.

The proof for combining several traces through a loop follows a very similar pattern. However, instead of constructing a single-edge trace as we did above, it concatenates two traces from its arguments. Also, instead of using the edge from the first node to the last, it instead uses an edge from the last to the first, as I described at the very beginning of this section.

From Properties.agda, lines 209 through 225
209
210
211
212
213
214
215
216
217
218
219
220
221
222
223
224
225
EndToEndTrace-loop² :  {g : Graph} {ρ₁ ρ₂ ρ₃ : Env} 
                      EndToEndTrace {loop g} ρ₁ ρ₂ 
                      EndToEndTrace {loop g} ρ₂ ρ₃ 
                      EndToEndTrace {loop g} ρ₁ ρ₃
EndToEndTrace-loop² {g} (MkEndToEndTrace zero (here refl) (suc zero) (here refl) tr₁)
                        (MkEndToEndTrace zero (here refl) (suc zero) (here refl) tr₂) =
    let
        suc→zero = loop-edge-help g (here refl)
                                    (there (there (there (here refl))))
    in
        record
            { idx₁ = zero
            ; idx₁∈inputs = here refl
            ; idx₂ = suc zero
            ; idx₂∈outputs = here refl
            ; trace = tr₁ ++⟨ suc→zero  tr₂
            }

Proof of Sufficiency

We now have all the pieces to show each execution of our program has a corresponding trace through a graph. Here is the whole proof:

We proceed by [note: Precisely, we proceed by induction on the derivation of ρ1,sρ2\rho_1, s \Rightarrow \rho_2. ] because that’s what tells us what the program did in that particular moment.

That’s it! We have now validated that the Control Flow Graphs we construct match the semantics of the programming language, which makes them a good input to our static program analyses. We can finally start writing those!

Defining and Verifying Static Program Analyses

We have all the pieces we need to define a formally-verified forward analysis:

Here’s how these pieces will fit together. We will construct a finite-height lattice. Every single element of this lattice will contain information about each variable at each node in the Control Flow Graph. We will then define a monotonic function that updates this information using the structure encoded in the CFG’s edges and nodes. Then, using the fixed-point algorithm, we will find the least element of the lattice, which will give us a precise description of all program variables at all points in the program. Because we have just validated our CFGs to be faithful to the language’s semantics, we’ll be able to prove that our algorithm produces accurate results.

The next post or two will be the last stretch; I hope to see you there!